Em vez de ler, que tal assistir?!
No dia 20 de janeiro de 2026 saiu a última atualização da tabela de frete da ANTT e, como você sabe, ela define um valor mínimo obrigatório para o frete na contratação de um TAC.
Essa atualização faz parte da revisão da Política Nacional de Pisos Mínimos do Transporte Rodoviário de Cargas e trouxe ajustes importantes nos cálculos, com o objetivo de representar melhor o custo real de rodar nas estradas brasileiras.
Leia até o fim para entender o que mudou na tabela de frete em 2026, como calcular corretamente o valor mínimo e como a tecnologia pode ajudar a evitar prejuízos e problemas com a fiscalização.
O que é a Tabela de Frete da ANTT e por que ela é obrigatória?
A tabela de frete faz parte da Política Nacional de Pisos Mínimos do Transporte Rodoviário de Cargas, instituída pela Lei nº 13.703/2018.
Ela define o valor mínimo que deve ser pago pelo transporte rodoviário de cargas no Brasil, levando em consideração fatores como:
- Tipo de carga
- Distância percorrida
- Número de eixos
- Tipo de veículo
O principal objetivo da tabela é proteger o contratado do transporte de cargas, evitando a contratação de fretes abaixo do custo mínimo da operação e garantindo condições básicas de sustentabilidade econômica para a atividade.
Quando o frete é contratado abaixo do piso mínimo, o contratante do transporte (embarcador ou transportadora contratante) pode sofrer penalizações, como aplicação de multas, especialmente em casos de fiscalização ou auditoria da ANTT.
O que mudou na Tabela de Frete da ANTT em 2026?
A revisão técnica que entrou em vigor em janeiro de 2026 foi formalizada pela Resolução ANTT nº 6.076/2026, que atualizou a metodologia e os coeficientes previstos anteriormente.
Os principais pontos de mudança foram:
1. Atualização dos coeficientes técnicos
A ANTT ajustou os coeficientes utilizados no cálculo do frete mínimo para refletir melhor os custos reais da operação, como:
- Manutenção dos veículos;
- Pneus;
- Combustível;
- Insumos operacionais.
Esses itens sofreram variações relevantes de preço nos últimos períodos, e a atualização busca reduzir a defasagem entre o custo real e o valor mínimo do frete.
2. Metodologia mais clara e transparente
A nova resolução deixou a metodologia de cálculo mais objetiva, facilitando a conferência dos valores tanto por transportadores quanto por embarcadores.
Na prática, isso ajuda a reduzir conflitos comerciais e aumenta a segurança jurídica nas negociações de frete.
3. Foco no custo real da operação
A revisão foi construída a partir de audiências públicas e análises técnicas, considerando a realidade atual das estradas brasileiras e da operação do transporte rodoviário de cargas.
O objetivo é garantir que o frete mínimo permita que o transportador cubra seus custos e mantenha a operação de forma sustentável.
Como calcular o frete mínimo pela Tabela da ANTT?
O cálculo do piso mínimo de frete continua baseado em dois componentes principais:
CCD – Coeficiente de Deslocamento
Representa o custo por quilômetro rodado, considerando o tipo de carga, o veículo e o número de eixos.
CC – Coeficiente de Carga e Descarga
É o custo fixo da operação, independentemente da distância percorrida.
Fórmula básica do frete mínimo
Piso Mínimo (R$) = (Distância em km × CCD)+CC
Para simplificar, você pode fazer esse cálculo automaticamente. Calcule o valor correto do frete na nossa calculadora atualizada.→
É importante lembrar que:
- Pedágios não estão incluídos no valor do piso mínimo e devem ser somados à parte;
- Tributos e outros encargos legais também devem ser considerados conforme a legislação vigente.
Fazer esse cálculo manualmente, principalmente em operações com diferentes tipos de carga e veículos, aumenta muito o risco de erro.
Como evitar erros no cálculo do frete e problemas com fiscalização?
Acompanhar mudanças na legislação, atualizar coeficientes e recalcular valores manualmente dá trabalho e abre margem para falhas.
Um erro no cálculo do frete mínimo pode resultar em:
- Dificuldade em comprovar o valor correto em fiscalizações;
- Problemas na emissão de CT-e e MDF-e.
É aqui que a tecnologia faz toda a diferença.
Com sistemas automatizados, como o Active Trans, o cálculo do frete é feito automaticamente com base nas regras cadastradas no sistema.
Continue lendo e você vai entender melhor como esse TMS funciona na prática e como ele ajuda a evitar erros e prejuízos na operação.
E em qual tabela eu posso me basear?
Agora, veja só como ficaram as tabelas com os coeficientes de pisos mínimos de transporte rodoviário de carga após a atualização em janeiro de 2026 (as imagens são reproduções da tabela de fretes ANTT do Diário Oficial da União):
TABELA A – TRANSPORTE RODOVIÁRIO DE CARGA LOTAÇÃO EM OPERAÇÕES EM QUE HAJA A CONTRATAÇÃO DA COMPOSIÇÃO VEICULAR OU CAMINHÃO SIMPLES
Nota: As células sem valores de coeficiente de custos se referem a veículos combinados com número de eixos não utilizadas para o tipo de carga avaliado no mercado de transporte rodoviário de cargas do Brasil.
TABELA B – TRANSPORTE RODOVIÁRIO DE CARGA LOTAÇÃO EM OPERAÇÕES EM QUE HAJA A CONTRATAÇÃO APENAS DA UNIDADE DE TRAÇÃO
Nota: As células sem valores de coeficiente de custos se referem a veículos combinados com número de eixos não utilizadas para o tipo de carga avaliado no mercado de transporte rodoviário de cargas do Brasil.
TABELA C – TRANSPORTE RODOVIÁRIO DE CARGA LOTAÇÃO EM OPERAÇÕES DE ALTO DESEMPENHO COM CONTRATAÇÃO DE COMPOSIÇÃO VEICULAR OU CAMINHÃO SIMPLES
Nota: As células sem valores de coeficiente de custos se referem a veículos combinados com número de eixos não utilizadas para o tipo de carga avaliado no mercado de transporte rodoviário de cargas do Brasil.
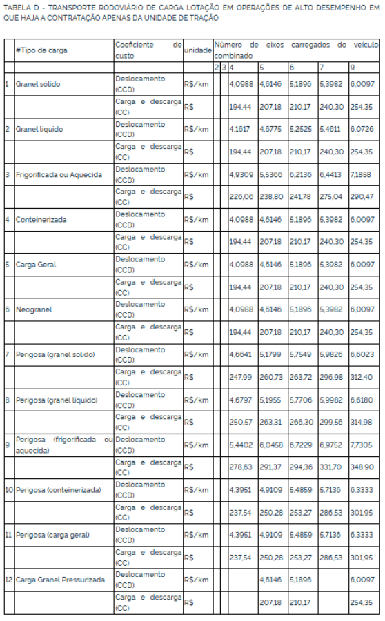
TABELA D – TRANSPORTE RODOVIÁRIO DE CARGA LOTAÇÃO EM OPERAÇÕES DE ALTO DESEMPENHO EM QUE HAJA A CONTRATAÇÃO APENAS DA UNIDADE DE TRAÇÃO
Nota: As células sem valores de coeficiente de custos se referem a veículos combinados com número de eixos não utilizadas para o tipo de carga avaliado no mercado de transporte rodoviário de cargas do Brasil.
Active Trans: seu cálculo de frete é feito automaticamente
O Active Trans é um TMS completo para transportadoras e com ele, você não precisa se preocupar em:
- Cálculo automático do frete;
- Redução de erros operacionais;
- Mais segurança em fiscalizações;
- Mais agilidade na gestão do transporte.
Este conteúdo te ajudou? Conheça a Active Corp e nossas soluções para simplificar a logística e transporte.
Aproveite para seguir as nossas páginas nas redes sociais. Estamos no Facebook, Instagram, YouTube, Linkedin e Tiktok.





